문제 설명
입출력 예 설명

n개의 노드가 있는 그래프가 있습니다. 각 노드는 1부터 n까지 번호가 적혀있습니다. 1번 노드에서 가장 멀리 떨어진 노드의 갯수를 구하려고 합니다. 가장 멀리 떨어진 노드란 최단경로로 이동했을 때 간선의 개수가 가장 많은 노드들을 의미합니다.
노드의 개수 n, 간선에 대한 정보가 담긴 2차원 배열 vertex가 매개변수로 주어질 때, 1번 노드로부터 가장 멀리 떨어진 노드가 몇 개인지를 return 하도록 solution 함수를 작성해주세요.
제한사항- 노드의 개수 n은 2 이상 20,000 이하입니다.
- 간선은 양방향이며 총 1개 이상 50,000개 이하의 간선이 있습니다.
- vertex 배열 각 행 [a, b]는 a번 노드와 b번 노드 사이에 간선이 있다는 의미입니다.
| n | vertex | return |
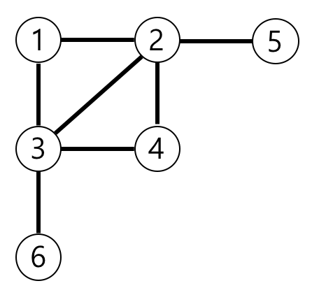
| 6 | [[3, 6], [4, 3], [3, 2], [1, 3], [1, 2], [2, 4], [5, 2]] | 3 |
예제의 그래프를 표현하면 아래 그림과 같고, 1번 노드에서 가장 멀리 떨어진 노드는 4,5,6번 노드입니다.

- 7, 8, 9번의 시간초과를 해결하는게 핵심인 문제였다.
- 그래프를 표현하는 방식에 인접행렬과 인접리스트 2가지로 해결하는 방식이 있는데, 인접리스트의 시간 복잡도가 현저히 줄어드는 편이다.
- 거리를 적는 dist 배열을 통해서 visited를 대체할 수 있다.
더보기
from collections import deque
def solution(n, edge):
answer = 0
graph = dict([(i, []) for i in range(1, n+1)])
for x, y in edge:
graph[x].append(y)
graph[y].append(x)
M = 0
#BFS
st = deque([(1, 0)])
visited = []
dist = [0 for _ in range(n+1)]
while st:
cur, cnt = st.popleft()
# print(cur, cnt)
#check in
if dist[cur] > 0:
continue
dist[cur] = cnt
M = max(M, cnt)
#Can go?
for nxt in graph[cur]:
if nxt != 1 and dist[nxt] == 0:
st.append((nxt, cnt+1))
answer = dist.count(M)
return answer
'ComputerScience > 코딩테스트' 카테고리의 다른 글
| [프로그래머스] [1차]뉴스클러스터링 - python3 (0) | 2022.02.19 |
|---|---|
| [프로그래머스] 신고 결과 받기 - python3 (0) | 2022.02.15 |
| [프로그래머스] 단어 변환(DFS/BFS) (1) | 2021.12.29 |
| [프로그래머스] 네트워크 (DFS/BFS) (2) | 2021.12.29 |
| [프로그래머스] 문자열 압축 - python3 (0) | 2021.07.20 |